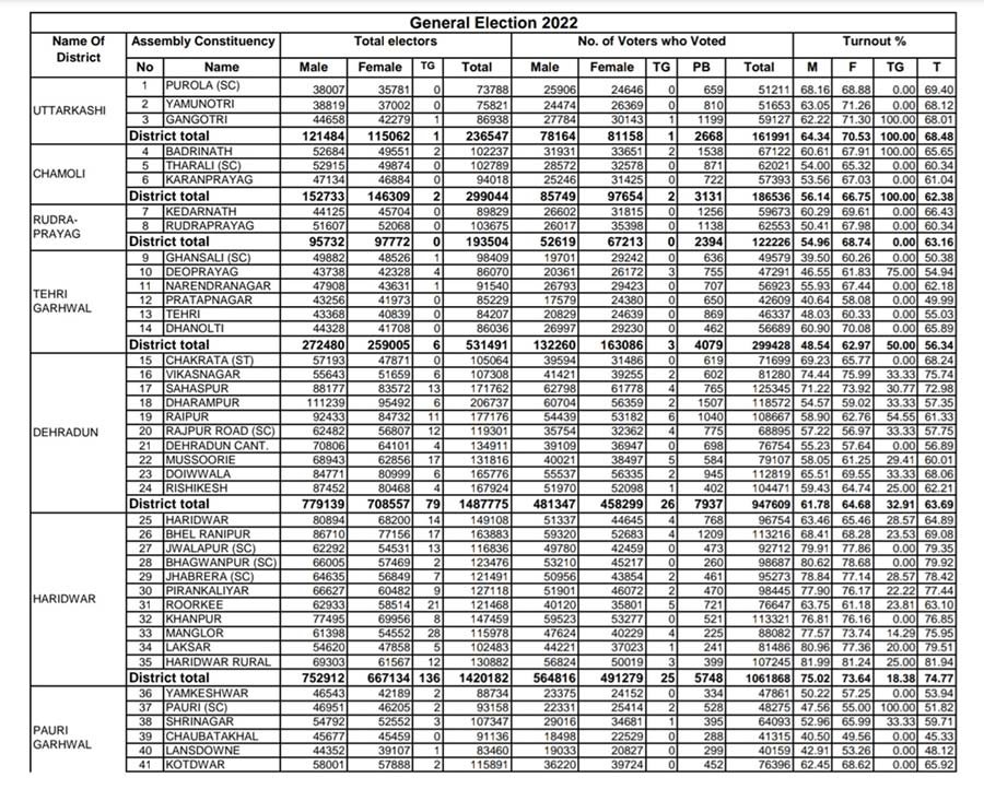
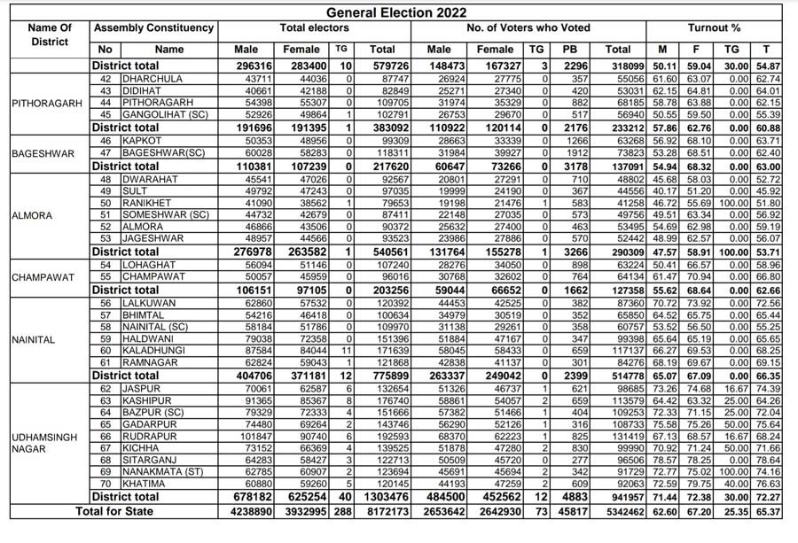
uttarakhand assembly election 2022 :उत्तराखंड विधानसभा चुनाव 2022 में राज्य की 70 विधानसभा सीटों पर सोमवार को हुए मतदान के दो दिन बाद आज फाइनल मतदान प्रतिशत सामने आ गया है। जिसके अनुसार प्रदेशभर की 70 सीटों में कुल 65.37 प्रतिशत मतदान हुआ है। इस बार हरिद्वार जनपद में सबसे ज्यादा 74.77 प्रतिशत मतदान हुआ। जबकि अल्मोड़ा जिले में सबसे कम 53.71 प्रतिशत वोटिंग हुई।
इस बार उत्तराखंड में वर्ष 2017 में हुए मतदान से मामूली कम मतदान हुआ है। 2017 विधानसभा चुनाव में जहाँ राज्य में 65.64% मतदान हुआ था। वहीँ इस बार 65.37 प्रतिशत मतदान हुआ। उत्तराखंड में इस बार महिलाओं ने पुरुषों से ज्यादा मतदान किया। निर्वाचन आयोग द्वारा जारी आंकड़ों के मुताबिक राज्य में कुल 62.60 फीसदी पुरुष मतदाताओं ने वोटिंग की। जबकि 67.20 फीसदी महिलाओं ने अपने मताधिकार का प्रयोग किया।
देखें जिलेवार आंकड़े
- उत्तरकाशी जिले में 68.48
- चमोली में 62.38
- रुद्रप्रयाग में 63.16
- टिहरी में 56.34
- देहरादून में 63.69
- हरिद्वार में 74.77
- पौड़ी में 54.87
- पिथौरागढ़ में 60.88
- बागेश्वर में 63
- अल्मोड़ा में 53.71
- चम्पावत 62.66
- नैनीताल में 66.35
- उधमसिंघनगर में 72.27 प्रतिशत मतदान हुआ है.







